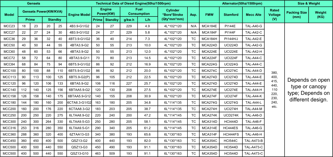
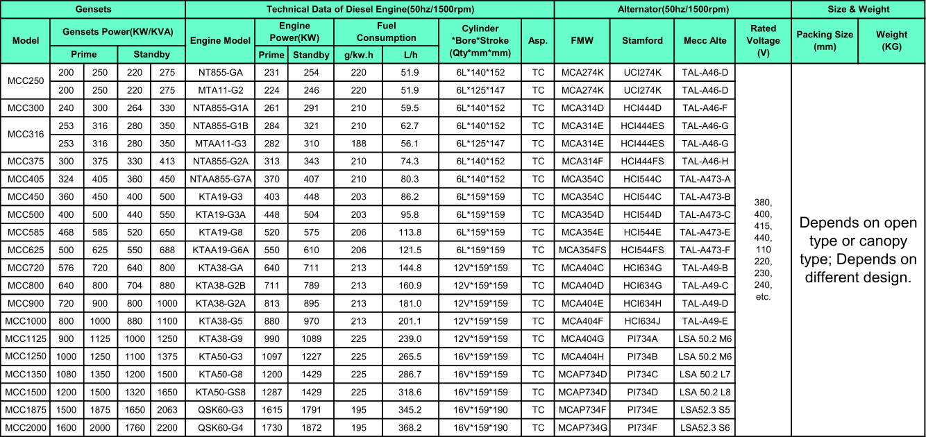
Cummins generantis maxime vulgaris fere est, generantis set late in omnibus generibus potentiarum statione industria toto orbe terrarum. A global network de Cummins pellentesque engine muneris possum providebit teloneariorum, aliisque undique conquisitis, et de servitio. Range de virtute Cummins Genset est ex 24kw usque ad 1800kw .
1. Cummins Engine generator Main Specification
Cummins generator Dongfeng

Cummins generator Chongqing

2. Si generator Cummins t
3. Et generator Features locus Supple
|
Latin Partibus
|
libitum Partibus
|
|
Brand New-Ricardus Lijia et Styer serie pellentesque engine
|
Originale Stanford 'Leroy Somer et Mecc Alte alternator
|
|
Brand New-Brushless MCA alternator (Genus II, IP23, AVR)
|
Automatic translatione Insemination (A.T.S) generans potestate ratio
|
|
VIII horas cibus piscinam frame cum basi ferro Gravis officium
|
Paralleling generans potestate ratio
|
|
2mm, 4 mm ferro soundproof ibidem papilionem, in generante tacet
|
Nativus maior quam VIII horas cibus cisternina cursus
|
|
Salus retia praesidio cum satellitum radiator
|
L Gravis officium ℃ ærea Radiator
|
|
Gravis officium Flexilis anti-tremula damper
|
Deepsea7320, aut Smartgen6110 COMAP AMF25 generante moderatoris
|
|
Gravis officium oris odio genus silencer flexilibus
|
Aqua calefacientis / lub, calefaciente et oleum maxime frigoris
|
|
Altus-perficientur non-vexillum tutela rei publicae altilium
|
Ut electronics ABB, Schneider et Nokia
|
|
Deepsea6020, Smartgen420 uel generator COMAP MRS11 moderatoris
|
Super expansum, cum tacet Cumtomized summus densitate carebit spongiam incubuisse
|
|
Pressura humilis oleum, overheating, cultro, et in custodiis Overspeed
|
Teres stainless-ferro partem specialem, sicut claves, oleum sentinam exhauriunt, filter pulvis etc.
|
|
Ut electronics publica vexillum-funem, circuirt ruptor, Nullam disponam lucernam Uncto meo, fuse, prohibere fabrica.
|
Et extra engine sicut parcit alternator filter, gasket, COLLUM, AVR, emendatrix
|
|
Instrumentum et ornamentum operatio manual Genset est, engine, et alternator
|
Ludo instrumentum et ornamentum arca generis instrumenta ad victum
|
4. Quisque criterio et ardore apostolicis

5. De nostrum Diesel Generator Italiae Commodum Collegit

① Latin summus materiae et remittit
● Ex Cochleas, gestus, strepitu spongiae, purpurae, filis autem vibratio-absorber, Nullam, AVR, diode, gauges navigiis pinos, ut, aeris filum, ferro acetabula ac metris, moderatoris, altilium, AMF: et sic de Ars.
② Research Periti in quadrigis, et liberaliter educatus et summus Development
● Cum a altus-professio investigationis et progressionem team, non solum potest FMW vexillum virtutis manufactuer quale consilium certa genera generans generat, sed ut possit FMW silente magnis generans quo est potentia statione, iuxta client est scriptor unique intelligentes generans conditurae exegerit.
③ Euismod egestas et criterium
Triticum voltage:
● LIBERO ARBITRIO onus voltage range≥ suadentque cadentia (95-105) Carmina%
● stabilis statu-voltage lex rate≤ ± 1.0%
● Tr ansient statu-voltage lex rate≤ XX% + / - XV%
● intentione recuperatio time≤1.0S
● intentione ratio≤ fluctuatio se ± 0.5%
● Kyrie / status-voltage calidum ratio≤2%
Frequency / Volo undulata,
Mutare a ● onus% 0-100, Frequency / Volo Droop in ratione V%.
● de Lond 25-100%, nulla stabilis onus Frequency / 0.25% in undam interpellaverit Mobilitate
Effectus Telecom Factor:
● TIF (MA MG1-22) magis quam L
● PLURAUTATE (BS EN60034) magis quam II%
iudicium;
● ISO8528, GB / T2820
● EN12601: MMI, EN60034-22: MCMXCVII, EN60204-1: MMVI
● ISO9001, MMVIII Quality Control System
● Insulating Exertus Resistentia ad normam GB5226.1-2002-19.3
● Exertus intentione sustinere, ad normam GB7 55-2000-8.1 (cum 1500V per 60S)
● omnes electrica temptavit sicut parcit cum GB5226.1-2002-19.6
● Mechanica Securitatis probata, ad normam cum GB / T820.8-2002-6.3
● ignis, probata, ad normam probo GB / T2820.8-20 02-6.4 / 6.5
● omnes generans occidere inspiciuntur districte XXV%,% L, LXXV%,% C% CX et Lond.